Original articles
Vol. 117: Issue 4 - August 2025
Oncotype DX in clinical practice: impact on treatment decisions and healthcare system economy
Summary
Objective. The aim of this study is to assess the impact of Oncotype DX on treatment decisions and healthcare economy.
Methods. Data were retrospectively collected from Fondazione Policlinico Universitario Campus Bio-Medico of Rome. 313 female patients with HR-positive, HER2-negative breast cancer underwent Oncotype DX between August 2020 and January 2024. Recurrence score, recurrence risk and chemotherapy benefit were collected from Oncotype DX report. Clinical and pathological data were collected. To objectify the oncological prescription based on clinicopathological variables, we used PREDICT 2.2 algorithm. Reimbursements, hospital accesses and number of health services in one-year follow-up were also collected.
Results. Oncotype DX did not indicate chemotherapy in 223/313 (71.2%) patients. In the PREDICT 2.2 scenario, 147/313 (47%) patients were not indicated chemotherapy. Thus, genomic test approach led to a decrease of 24.2% in chemotherapy prescription. Patients receiving chemotherapy had 21 (+91.3%) more hospital accesses, 115 (+101.8%) more health services and a reimbursement of €2811 (+31.5%) higher than patients not receiving chemotherapy (median values).
Conclusions. Oncotype DX results in lower rates of chemotherapy prescription and in possible healthcare cost savings.
Introduction
Early-stage breast cancer (eBC) is the most common presentation of invasive breast cancer at diagnosis. It is defined as breast cancer not spreading beyond the breast or axillary lymph nodes, thus including stage I, IIA, IIB and IIIA 1. After radical surgical treatment, prognosis of patients with early-stage invasive breast cancer is mainly guided by molecular classification of tumour. Described for the first time by Perou et al. in 2000 2, four main molecular classes are recognised, divided into “Luminal” (Luminal A, Luminal B) and “non-Luminal” (HER2-enriched, Basal-like) categories, which are associated to different biological behaviours and prognosis. Luminal tumours are characterised by expression of hormone receptors (oestrogen receptor and/or progesterone receptor) in the absence of overexpression of HER2 (Human Epidermal Growth Factor Receptor 2) protein. For this reason, Luminal tumours are referred to as hormone receptor-positive, HER2-negative breast cancers, and account for > 70% of eBC worldwide. Luminal A tumours are treated with adjuvant endocrine therapy alone, whereas Luminal B require adjuvant chemotherapy in addition to endocrine therapy 3. Traditionally, in real practice pathologists and clinicians estimate patient’s prognosis and drive adjuvant therapy on the bases of a set of parameters, which are both clinical (age, menopausal status, clinical stage) and pathological (grade, histotype, size, nodal status, pathological stage). Moreover, the asset of four pathological parameters by immunohistochemistry (oestrogen rreceptor [ER], progesterone receptor [PgR], HER2 and Ki-67) is applied as a surrogate method for molecular classification of breast cancer and is recommended by international guidelines in clinical practice routine 3,4. Among Luminal tumours, distinction between Luminal A and Luminal B breast cancers is made through immunohistochemistry value of Ki-67; anyway, this distinction is not always straightforward, and controversies exist regarding Ki-67 thresholds, complicating prognosis evaluation and appropriate treatment decision-making. For this reason, genomic tests are currently recommended in unclear cases, when precise categorisation of tumour into “Luminal A” or “Luminal B” group is not feasible. Deriving additional information regarding tumour biology, in fact, can help in estimating patient survival and possibly chemotherapy benefit 5.
From the oncologist’s perspective, genomic tests can support decisions when clinicopathological risk assessment based on the clinical and pathological variables is intermediate or uncertain 6,7. International guidelines, as ESMO guidelines 3, integrate genomic tests in routine practice, although no specific criteria are mentioned for the identification of intermediate-risk cases.
In Italy in 2021 the Ministry of Health nationally regulated access to breast cancer genomic tests for the first time; in that occasion, specific inclusion criteria for intermediate clinicopathological risk were defined. Since then, patients with early-stage hormone receptor-positive, HER2-negative breast cancer with intermediate clinicopathological risk can have access to genomic tests with reimbursement from the National Health System 8. In Lazio Region Health System, Oncotype DX (Genomic Health, Inc.) is the first genomic test to be prescribed by oncologists. Oncotype DX is based on quantitative RT-PCR (qRT-PCR) technique on 21 gene-assay; it was validated in two prospective phase III randomised controlled trials: in TAILORx trial it proved to be effective in predicting survival and chemotherapy benefit in pre- and post-menopausal women with hormone receptor-positive, HER2-negative, node-negative breast cancer9, whereas in RxPONDER trial its effectiveness was demonstrated also in 1-3 node-positive disease, but only in post-menopausal women 10. Oncotype DX is currently strongly recommended by international guidelines for its prognostic and predictive role 11. Genomic tests such as Oncotype DX are therefore widely used today and many studies have focused on their impact on clinical practice, but what remains unknown is their concrete impact on the economic scenario. Utilisation of genomic tests could influence general health economy, including waiting lists, type and number of services required, costs for patients. Many efforts were made to indirectly estimate genomic test impact on national economy, but real-world data on how genomic tests are changing economic flow inside our health systems are still lacking.
The aim of this study is to directly investigate the impact of Oncotype DX application on clinical practice and economic implications, after a 3-year experience in Italian National Health System.
Materials and methods
POPULATION AND DATA SET
Data were collected from Fondazione Policlinico Universitario Campus Bio-Medico of Rome. All patients included in the present study underwent Oncotype DX genomic profiling test between August 2020 and January 2024 and fell under the “intermediate risk” according to Italian Ministry of Health criteria. Oncotype DX tests were performed on 313 female patients with hormone receptor (HR)-positive, HER2-negative breast cancer. Oncotype DX genomic profiling tests were performed under oncologist prescription. Clinical and pathological data were collected from the hospital electronic medical records: age at diagnosis, tumour histotype, tumour size, nodal status, tumour grade, ER and PgR expression by immunohistochemistry (IHC), HER2 score based on IHC ± fluorescence in situ hybridization (FISH), and Ki-67 expression by IHC. Tumour grade was assessed using Nottingham combined histologic grade (Elston-Ellis modification of Scarff-Bloom-Richardson grading system) according to 2018 CAP guidelines 12.
GENOMIC EVALUATION
Tumour genomic profile was evaluated by Oncotype DX. According to the strict pathological guidelines of the Genomic Health Inc. 13, 15 serial unstained 5 μm slides from the representative tumour block of the largest area of highest grade were prepared. In the case of a multifocal lesion, at least the two most representative foci were sent for the evaluation.
From Oncotype DX the following data were collected: recurrence acore (RS) value, recurrence risk (RR) and chemotherapy benefit. On these bases, patients were divided into 5 groups: A) no chemotherapy benefit, B) benefit < 1%, C) benefit approximately 15%, D) benefit > 15%, E) benefit cannot be excluded. In Groups A and B chemotherapy is not recommended, whereas in Group C, D and E chemotherapy is recommended based on oncological evaluation.
PREDICTIVE IMMUNOHISTOCHEMISTRY MARKERS
Immunohistorhcemistry (IHC) was performed on the Ventana BenchMark ULTRA (Ventana Medical Systems, Roche Diagnostics, Tucson, AZ) together with kit control slides for every staining run, using an automated validated staining protocol. ER expression was assessed using ER (SP1) rabbit monoclonal primary antibody. PgR expression was assessed using PR (1E2) rabbit monoclonal primary antibody. ER and PgR status was considered positive if at least 1% of tumour cells were positive independently from staining intensity 14. According to ASCO/CAP 2020 guidelines, cases showing 1-10% positivity of ER on IHC were classified as ER-low breast cancers 15. Ki-67 value was assessed using anti-Ki-67 (30-9) rabbit monoclonal primary antibody and expressed in terms of positive cancer cell percentage. Following the International Ki-67 in Breast Cancer Working Group (IKWG) recommendations, we divided our patients in “Ki-67 low” group if Ki-67 on IHC was ≤5%, “intermediate Ki-67” group if Ki-67 was in 5-30% range and “Ki-67 high” group if Ki-67 was ≥30% 16. IHC staining using the PATHWAY® HER-2/neu rabbit monoclonal antibody 4B5 was performed according to the recommendations of the manufacturer [Package Insert, PATHWAY anti-HER-2/NEU (4B5) rabbit monoclonal primary antibody, German, Created: 17.03.2020. Accessed 01.12.2021]. IHC scoring was performed according to the 2018 ASCO/CAP guidelines17. Cases with 2+ score were further studied by FISH analysis. HER2 gene amplification was analysed using the ZytoLight FISH-Tissue Implementation KIT and ZytoLight SPEC ERBB2/CEN 17 Dual Color Probe. (ZYTOVISION - IVD/CE test) according to the recommendations of the manufacturer. HER2 FISH breast tumour samples were evaluated using the updated 2018 ASCO/CAP guidelines 17.
CLINICAL ASSESSMENT OF RECURRENCE RISK
To presume the oncological prescription on the basis of clinicopathological variables, we used PREDICT 2.2 algorithm (https://breast.predict.nhs.uk). In PREDICT 2.2 algorithm Ki-67 on IHC is considered “positive” if > 10%. Progesterone receptor IHC value is not part of PREDICT 2.2 algorithm. Mortality reductions administering third generation (taxane-containing) chemotherapy regimens was considered. We followed the Cambridge Breast Unit (UK) 18, which uses the absolute 10-year survival benefit from chemotherapy to guide decision making for adjuvant chemotherapy as follows: < 3% chemotherapy not recommended; 3-5% chemotherapy discussed as a possible option; > 5% chemotherapy recommended. According to current clinical practice, we considered chemotherapy choice if PREDICT 2.2 score was ≥3.
ECONOMIC DATA
Economic data for patients’ healthcare were collected from institutional financial registry. We tracked hospital costs for 63 patients that underwent Oncotype DX test, focusing on one-year period starting from Oncotype DX report date. All patients were treated and followed-up at our institution between 2021–2024 time range. For these patients, all health services costs in one-year follow-up were tracked, i.e., also costs for services not related to oncological disease were considered.
One patient of our cohort had chemotherapy indication according to Oncotype DX, but ultimately did not receive chemotherapy.
For each patient, we collected: 1) total reimbursement required, 2) type and 3) number of health services and 4) number of hospital accesses.
We calculated total reimbursement, total number of hospital accesses and total number of health services for patients treated with chemotherapy vs. patients treated with hormone therapy alone. Costs of genomic test were also considered (€2000 per test).
STATISTICAL ANALYSIS
We performed the Mann-Whitney U Test for independent samples to test the economic impact of Oncotype DX on reimbursements, number of hospital accesses and number of health services. For this purpose, patients were divided in endocrine therapy only (Group 1) vs. chemotherapy + endocrine therapy (Group 2) to be compared. We also investigated possible correlations between clinicopathological variables and Oncotype DX results using Spearman’s Rank Correlation (r coefficient). Furthermore, correlation between Oncotype Dx results and PREDICT 2.2 results was evaluated using Spearman’s Rank Correlation (r coefficient). Statistical significance was determined if the two-sided p value was < 0.05. All statistical analyses were performed with SPSS software (version 29.0.1.0 for Windows, SPSS Inc., Chicago, Illinois, USA).
Results
CLINICAL AND PATHOLOGICAL FEATURES
313 female patients HR-positive and HER2-negative breast cancer underwent Oncotype DX genomic profiling. Median age at diagnosis was 54 years (range 31-79); 98/313 patients (31.3%) were aged < 50 years old, 215/313 patients (68.7%) were aged ≥50 years old. 139/313 patients (44.4%) were followed at Fondazione Policlinico Universitario Campus Bio-Medico of Rome hospital, whereas 174/313 patients (55.6%) were referred from other institutions. Breast cancer histotypes at diagnosis were ductal carcinoma (248/313, 79.2%), lobular carcinoma (52/313, 16.6%), micropapillary carcinoma (3/313, 1%), mixed ductal-lobular carcinoma (5/313, 1.6%), mixed ductal-mucinous carcinoma (2/313, 0.6%), mucinous (2/313, 0.6%) and ductal carcinoma with focal neuroendocrine features (1/313, 0.3%). 55/313 patients had multifocal tumours (17.6%). 22/313 cases (7%) were G1, 167/313 cases (53.3%) were G2 and 124/313 (39.6%) cases were G3. Mean tumour size (dT) was 1.8 cm (range 0.35-8 cm), median value was 1.6 cm. Applying pathological primary tumour stage categorisation (pT), 2/313 (0.6%) patients had pT1a tumour; 41/313 (13%) had pT1b tumour; 174/313 (55.6%) had pT1c tumour; 93/313 (29.7%) had pT2 tumour and 3/313 (1%) had pT3 tumour. Lymph nodes were negative for metastasis in 200/313 patients (63.9%); 71/313 patients had metastasis in one lymph node (22.7%), 28/313 patients had metastases in 2 lymph nodes (8.9%) and 13/313 patients had metastases in 3 lymph nodes (4.2%). One patient had more than three lymph node metastases (0.3%). All surgical margins were negative. Data were summarised in Table I.
ONCOTYPE DX RESULTS
Median RS in our cohort was 16 (IQR: 11-23). Median RR) was 10% (IQR: 4-16%). According to Oncotype DX report, 65/313 (20.8%) were classified as “no chemotherapy benefit” (Group A); 158/313 (50.4%) patients were classified as “chemotherapy benefit < 1%” (Group B); 10/313 (3.2%) patients were classified as “chemotherapy benefit of 15%” (Group C); 42/313 (13.4%) patients were classified as “chemotherapy benefit > 15%” (Group D); 38/313 (12%) patients were classified as “chemotherapy benefit could not be excluded” (Group E). Therefore, a total of 90/313 (28.8%) patients were recommended chemotherapy according to Oncotype DX results.
In Group A, median RS value was 12 (IQR: 10-15), median RR was 13% (IQR: 12-14%). In Group B, median RS value was 14 (IQR: 10-19), median RR was 4% (IQR: 3-6%). In Group C, median RS was 34 (IQR: 32.25-37), median RR was 26% (IQR: 25-29%). In Group D, median RS was 32.5 (IQR: 28.25-36.75), median RR was 21% (IQR: 17.25-24.75%). In Group E, median RS value was 21 (IQR: 19-23.75), median RR was 18% (IQR: 16-19%). Data are presented in Table II.
RS negatively correlated with ER (r = -0.306; p < 0.001) and PgR (r = -0.562; p < 0.001), and positively correlated with grade (r = 0.358; p < 0.001) and Ki-67 (r = 0.287; p < 0.001). Chemotherapy benefit negatively correlated with ER (r = -0.208; p < 0.001) and PgR (r = -0.426; p < 0.001) and positively correlated with grade (r = 0.288; p < 0.001), tumour size (r = 0.118; p < 0.05) and Ki-67 (r = 0.243; p < 0.001).
IHC
Median ER IHC percentage value in our cohort was 95% (IQR: 90-98%). 2/313 (0.6%) cases were classified as ER-low. Median PgR IHC percentage value in our cohort was 80% (IQR: 30-95%). Median Ki-67 IHC percentage value was 25% (IQR: 17-30%). 11/313 (3.5%) cases had Ki-67 value ≤5% (“Ki-67 low” group); 199/313 (63.6%) cases had Ki-67 value in 5-30% range (“intermediate Ki-67” group); 103/313 (32.9%) cases had Ki-67 value ≥30% (“Ki-67 high” group). 134/313 (42.8%) patients were assessed as HER2 0 on IHC; 128/313 (40.9%) as HER2 1+; 51/313 (16.3%) as HER2 2+ without HER2 gene amplification on FISH.
ER-low cases (2/313, 0.6%) were both assigned “chemotherapy benefit of 15%” by Oncotype DX.
In Ki-67≤5% cases, 7/11 (63.6%) were assigned “no chemotherapy benefit”, 2/11 (18.2%) were assigned “chemotherapy benefit < 1%” and 2/11 (18.2%) were assigned “chemotherapy benefit cannot be excluded” by Oncotype DX. In Ki-67 5-30% interval cases, 45/199 (22.6%) were assigned “no chemotherapy benefit”, 104/199 (52.3%) were assigned “chemotherapy benefit < 1%”, 5/199 (2.5%) were assigned “chemotherapy benefit of 15%”, 16/199 (8%) were assigned “chemotherapy benefit > 15%” and 29/199 (14.6%) were assigned “chemotherapy benefit cannot be excluded” by Oncotype DX. In Ki-67≥30% cases, 13/103 (12.6%) were assigned “no chemotherapy benefit”, 52/103 (50.5%) were assigned “chemotherapy benefit < 1%”, 5/103 (4.9%) were assigned “chemotherapy benefit of 15%”, 26/103 (25.2%) were assigned “chemotherapy benefit > 15%” and 7/103 (6.8%) were assigned “chemotherapy benefit cannot be excluded” by Oncotype DX. As a result, in Ki-67≤5% cases 2/11 (18.2%) patients were recommended chemotherapy by Oncotype DX, in Ki-67 5-30% 149/199 (74.9%) were not recommended chemotherapy by Oncotype DX and in Ki-67≥30% cases 65/103 (63.1%) patients were not recommended chemotherapy by Oncotype DX.
A positive correlation was found between ER and PgR (r = 0.247; p < 0.001); also, PgR negatively correlated with grade (r = -0.286; p < 0.001) and with Ki-67 (r = -0.142; p < 0.001). Ki-67 positively correlated with grade (r = 0.446; p < 0.001). Lymph node metastasis positively correlated with tumour size (r = 0.132; p < 0.05) and multifocality (r = 0.160; p < 0.05).
PREDICT 2.2 RESULTS
Median PREDICT 2.2 score was 3.3% (range: 0.3-13.2%) in our cohort. 147/313 (47%) patients had PREDICT 2.2 score ≤3%, meaning no chemotherapy indication; median PREDICT 2.2 score in this group was 2%. 91/313 (29%) patients had PREDICT 2.2 score in 3-5% range, which is a range of unclear indication for chemotherapy; median PREDICT 2.2 score in this group was 4%. 75/313 (24%) patients had PREDICT 2.2 score ≥5%, meaning chemotherapy is recommended; median PREDICT 2.2 score in this group was 6%. Following clinical practice decision making, chemotherapy is usually prescribed when PREDICT 2.2 score > 3%; therefore, we assume that chemotherapy would be indicated in a total number of 166/313 (53%) patients.
PREDICT 2.2 score positively correlated with RS (r = 0.249; p < 0.001), RR (r = 0.393; p < 0.001) and chemotherapy benefit according to Oncotype DX (r = 0.192; p < 0.001); moreover, chemotherapy benefit according to PREDICT 2.2 positively correlated with RS (r = 0.239; p < 0.001), RR (r = 0.338; p < 0.001) and with chemotherapy benefit according to Oncotype DX (r = 0.197; p < 0.001).
CHEMOTHERAPY PRESCRIPTION: COMPARISON BETWEEN ONCOTYPE DX AND PREDICT 2.2
According to the Oncotype DX results, 223/313 (71.2%) patients were not recommended chemotherapy; according to PREDICT 2.2 scenario, 147/313 (47%) patients were not recommended chemotherapy. As a result, genomic test approach led to a general decrease of 24.2% in chemotherapy prescription compared to a traditional clinicopathological approach.
We investigated discordant cases. Considering patients without chemotherapy recommendation by PREDICT 2.2 (PREDICT 2.2 score ≤3%, 147/313), 23/147 (15.6%) patients had chemotherapy indication according to Oncotype DX. Considering patients with borderline PREDICT 2.2 score range 3-5% (91/313), in 66/91 (72.5%) cases Oncotype DX did not recommend chemotherapy. Considering patients with PREDICT 2.2 indication for chemotherapy (PREDICT 2.2 score > 5%, 75/313), in 33/75 (44%) patients Oncotype DX did not recommend chemotherapy. These data are summarised in Table III and IV.
If we consider the total number of patients being recommended chemotherapy according to PREDICT 2.2 score (166/313), in 99/166 (59.6%) patients Oncotype DX did not recommend chemotherapy. Considering the total number of patients in our cohort, we assume that Oncotype DX vs. PREDICT 2.2 changed oncologist’s prescription from chemotherapy + endocrine therapy to endocrine therapy alone in 99/313 (31.6%) patients.
ECONOMIC EVALUATION AND HEALTH SERVICES
We tracked hospital costs for 63 patients who underwent Oncotype DX test. For each patient, we focused on a one-year period starting from Oncotype DX report date. All patients were treated and followed-up at our institution between 2021–2024 time range. 45/63 (71.4%) patients also received radiotherapy; radiotherapy costs for these patients were tracked and included in health services costs in one-year follow-up. We collected costs and reimbursement for each access. All these patients received endocrine therapy; 15/63 patients (23.8%) also received chemotherapy. Oncotype DX test single cost was €2000; health services costs were based on National tariffs for Italian NHS service.
Median reimbursement for patients who underwent only endocrine therapy (48/63, 76.2%, Group 1) was €8935 (IQR: €6402.75 - €10,683.5); median number of health services was 113 (range: 5-208); median number of hospital accesses was 23 (range: 2-35). Total reimbursements for these patients were €405,650.
Median reimbursement for patients who underwent chemotherapy + endocrine therapy (15/63, 23.8%, Group 2) was €11,746 (IQR: €10,485.5 - €14124.5); median number of health services was 228 (range: 90-335); median number of accesses was 44 (range: 32-65). Total reimbursements for these patients were €20,4248.
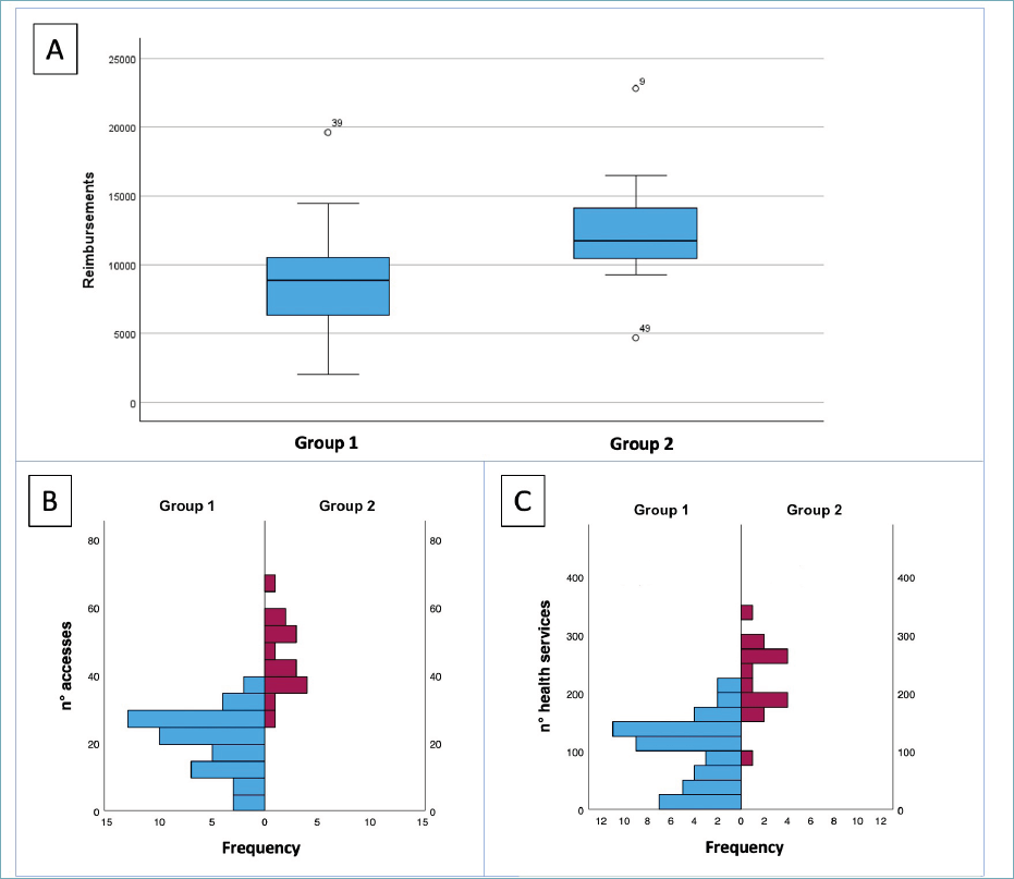
Comparing median values between patients that received chemotherapy and patients that did not, there is a difference of €2811 in reimbursement, a difference of 21 hospital accesses and a difference of 115 health services (Tab. V).
Comparing patients treated with chemotherapy vs. endocrine treatment only, a statistically significant difference was found in terms of reimbursements (p < 0.001; Fig. 1A), number of accesses (p < 0.001; Fig. 1B) and number of health services (p < 0.001; Fig. 1C).
Discussion
This study on 313 breast cancer patients demonstrates that Oncotype DX application results in a general decrease of 24.2% in chemotherapy prescription. In patients where a traditional clinicopathological approach would have indicated chemotherapy, Oncotype DX application resulted in avoidance of chemotherapy in 59.6% of them. All these results show that Oncotype DX reduced chemotherapy treatment in ER+/HER2- early breast cancer.
An initial overview by Schaafsma et al, focusing on the impact of Oncotype DX after first decade of use, showed that the use Oncotype DX increase is associated with a decrease in the prescription of chemotherapy; moreover, they demonstrated a survival improvement in patients after Oncotype DX testing19. Other recent studies have demonstrated a substantial reduction in chemotherapy prescription in post-Oncotype DX setting. A study on 828 ER-positive, HER2-negative, 1-3 lymph node-positive early-stage breast cancer patients across 5 Irish cancer centres recently reported a 58% reduction in chemotherapy administration after Oncotype DX performance; moreover, economic savings of over €6 million in chemotherapy-related costs were estimated and, deducting the assay cost, estimated net savings of over €3.3 million were achieved 20. Another study on 30 patients in an Italian hospital demonstrated a change in 30% of recommendations after Oncotype DX; in 20% of cases chemotherapy was omitted, whereas in 10% of cases chemotherapy was added to adjuvant endocrine therapy 21. Another study evaluating the impact of a 21-gene assay on 179 women from a public health care system in Brazil registered a change from chemotherapy prescription to endocrine therapy alone in 65% of patients 22. This general trend in reduction in chemotherapy prescription is therefore consistent with our results.
In our study, we found that 18.2% of patients with Ki-67≤5% were recommended chemotherapy and that 74.9% of patients with intermediate Ki-67 5-30% and 63.1% of patients with Ki-67 ≥ 30% could be spared chemotherapy according Oncotype DX. Therefore, in our study Ki-67 thresholds from Ki-67 in Breast Cancer Working Group recommendations did not result in a reliable method for estimating RS and patient chemotherapy benefit, and genomic test application can be useful in guiding treatment decisions even in these groups.
This is in line with results of another Italian study conducted in six referral cancer centres in Lombardy, which proved that genomic test application can be effective in tailoring patient’s treatment also in cases with high (≥30%) or low (≤20%) Ki-67 levels 23. A study on 525 patients with hormone receptor-positive breast cancer focused on the relationship between Ki-67 value on IHC and the Oncotype DX Recurrence Score; patients were divided in three risk categories of IKWG (Ki-67≤5%, Ki-67 6-29%, Ki-67≥30%) as in our study, and distribution of RS was evaluated across different Ki-67 categories. The authors demonstrated that across all risk categories, especially in low and intermediate risk, Ki-67 had limited utility in identifying patients with high or low RS. In detail, 89% of patients with intermediate Ki-67 and 68% of patients with high Ki-67 would be spared chemotherapy, whereas in low Ki-67 group 6% of patients had a high RS. These results support our findings and show similar distribution of RS across Ki-67 groups 24.
Furthermore, we observed that patients receiving chemotherapy had higher median cost value than patients not receiving this treatment, with a difference of €2811 after 1 year of follow-up. Moreover, patients undergoing chemotherapy received on average 115 more health services and performed 21 more hospital accesses than patients that did not receive it. These data highlight major impact of chemotherapy prescription both on patient’s health and our economic system.
Our results are in line with other studies that, through mathematical model analyses, supported an Oncotype DX-associated economic benefit. For example, Berdunov et al. suggested that Oncotype DX is cost-saving in N0 and N1 early breast cancer when compared to clinical-pathological risk factors alone to guide adjuvant treatment in an economic-effectiveness model. In N0 group, an accurate selection of patients after RS results led to reduction in probability of local and distant recurrence, driving long-term cost savings. In N1 group, cost savings derived from chemotherapy reduction in postmenopausal women of the cohort 25. Additionally, various studies estimated economic impact of Oncotype DX in clinical practice. Mariotto et al. estimated the monetary impact of Oncotype DX comparing pre- and post-TAILORx scenarios using US population data. The authors estimate a net cost saving of $49 million during the initial 12 months of breast cancer care. Personalising patient care based on genomic test results could lower short-term costs, as our study also reflects 26. Another study from the Netherlands focused on a cost-consequence model aimed at comparing three scenarios (Oncotype DX, MammaPrint, no genomic test) and impact of genomic tests. Both genomic tests resulted to be cost saving by reducing chemotherapy prescription if compared to a no genomic test scenario. Also, Oncotype DX was associated to lower costs for disease recurrence and lower economic productivity losses compared to MammaPrint 27. Moreover, a recent trial conducted on 664 patients from 14 centers in the UK demonstrated having node-positive, hormone receptor-positive, HER2-negative breast cancer estimated that Oncotype DX led to a significant savings of £787 per patient, along with greater level of confidence in physicians and patients 28. All these data underline Oncotype DX impact both on economy and on adverse effects and patient quality of life.
From an economic and financial point of view, we also highlight that Oncotype DX is a centralised test and did not result in extra organisational demand for our institution, considering technologies, laboratory activities and staff, with no need for a specialised pathway. However, a direct comparison between an outsource model and in-house testing approach should be considered to evaluate possible economic differences.
Our study has some limitations. Firstly, we have data regarding only one-year period of follow-up; hence, collecting data on a longer range of time will be our future aim to verify real economic benefit. Secondly, we have focused on economic data that are of main interest for the Italian National Health System. Further economic benefits for our society and economic consequences on patient’s quality of life (i.e., absence from work to undergo therapy, aesthetic costs, exc.) have not been considered in this study. Thirdly, our cohort is composed of patients that could have access with reimbursement to genomic test according to ministerial criteria; thus, it is a specifically selected group, and results cannot be generalised for the total breast cancer population. Intermediate-risk cases are characterised by major uncertainty on chemotherapy benefit and survival; thus, this category benefits the most from genomic testing. Even if our quantitative results cannot be generalised, it should be noted that a genomic-based approach applied on the entire breast cancer population would lead to a change of prescription also in some cases falling into low- and high-risk group.
Conclusions
Our study demonstrates clinical benefit of Oncotype DX test in HR-positive, HER2-negative breast cancer patients, leading to general reduction in chemotherapy prescription; also, to the best of our knowledge, the economic benefit of Oncotype DX in clinical practice is demonstrated here for the first time by concrete assessment of reimbursements over one year of follow-up. Therefore, our outcomes confirm that genomic tests allow personalisation of treatments and lowering of adjuvant chemotherapy, which bring substantial benefits not only for the patient’s health, but also for the overall economic impact.
CONFLICTS OF INTEREST STATEMENT
Giuseppe Perrone has received personal fees (as consultant and/or speaker bureau) from Boehringer Ingelheim, Roche, MSD, Amgen, Diaceutics, Merck, AstraZeneca, Novartis, Daiichi Sankyo, Exact Sciences, Diatech Pharmacogenetics. Alessia Capozzi, Silvia Maria Rossi, Giovanna Sabarese, Marco Germani, Gabriella Gullotta and Stefania Sfregola have nothing to disclose.
FUNDING
The authors have not declared a specific grant for this research from any funding agency.
AUTHORS’ CONTRIBUTIONS
Conceptualization, AC, SMR and GP; Methodology, AC, SMR and GP; Validation, all authors; Formal analysis, AC, SMR and GP; Investigation, all authors; Resources, all authors; Data Curation, all authors; Writing – Original Draft Preparation, AC; Writing – Review and Editing, AC and GP; Supervision, GP.
ETHICAL CONSIDERATION
The research was performed in accordance with the requirements of the World Medical Association’s Declaration of Helsinki and in agreement with Italian law for processing personal data for research purposes. All information regarding human material was managed using anonymous numerical codes. Written informed consent was obtained from each patient at the time of surgery, following the indication of Italian DLgs No. 196/03 (Codex on Privacy), as modified by UE 2016/679 law of the European Parliament and Commission.
History
Received: March 15, 2025
Accepted: August 4, 2025
Figures and tables
Figure 1. (A) Reimbursement analysis. Box plot representing reimbursement distribution in Group 1 (patients of our cohort receiving endocrine therapy only) and Group 2 (patients of our cohort receiving chemotherapy + endocrine therapy). A difference of €2811 between median reimbursement of Group 1 and Group 2 was found, which is statistically significant (p < 0.001): through Oncotype DX application, reducing chemotherapy treatment results in lower costs for the National Health System. Reimbursements are calculated in Eur (€). (B) Hospital accesses analysis. This figure represents the distribution of number of hospital accesses in Group 1 (endocrine therapy only) and Group 2 (chemotherapy + endocrine therapy). A difference of 21 hospital accesses between median accesses of Group 1 and Group 2 was found, with Group 1 patients having more hospital accesses because of chemotherapy and/or other health needing. This difference was statistically significant (p < 0.001). (C) Health services analysis. This figure represents the distribution of number of health services in Group 1 (endocrine therapy only) and Group 2 (chemotherapy + endocrine therapy). Difference between median health services of Group 1 and Group 2 was 115. This difference was statistically significant (p < 0.001) and reflects the need for more health services in Group 1, which is not only strictly related to chemotherapy but also includes other type of health necessities.
| Age at diagnosis (median: 54 years) | < 50 years | 98 |
| ≥50 years | 215 | |
| Histotypes | Ductal carcinoma | 248 |
| Lobular carcinoma | 52 | |
| Micropapillary carcinoma | 3 | |
| Mixed ductal-lobular carcinoma | 5 | |
| Mixed ductal-mucinous carcinoma | 2 | |
| Mucinous | 2 | |
| Ductal carcinoma with focal neuroendocrine features | 1 | |
| Multifocality | Not multifocal | 258 |
| Multifocal | 55 | |
| Grade | G1 | 22 |
| G2 | 167 | |
| G3 | 124 | |
| Pathological primary tumour (pT) categories | pT1a | 2 |
| pT1b | 41 | |
| pT1c | 174 | |
| pT2 | 93 | |
| pT3 | 3 | |
| Lymph node metastasis | 0 | 200 |
| 1 | 71 | |
| 2 | 28 | |
| 3 | 13 | |
| > 3 | 1 |
| Chemotherapy benefit | Number of patients | Median recurrence score | Median recurrence risk |
|---|---|---|---|
| No chemotherapy benefit | 65 | 12 | 13% |
| Chemotherapy benefit < 1% | 158 | 14 | 4% |
| Chemotherapy benefit of 15% | 10 | 34 | 26% |
| Chemotherapy benefit > 15% | 42 | 32.5 | 21% |
| Chemotherapy benefit cannot be excluded | 38 | 21 | 18% |
| Total | 313 | 16 | 10% |
| Chemotherapy indication Oncotype DX | ||||
|---|---|---|---|---|
| Chemotherapy indication PREDICT 2.2 | Yes | No | Total | |
| Yes | 67 | 99 | 166 | |
| No | 23 | 124 | 147 | |
| Total | 90 | 223 | 313 | |
| PREDICT 2.2 score range | Chemotherapy recommended according to Oncotype DX | Chemotherapy not recommended according to Oncotype DX | Total number of patients |
|---|---|---|---|
| ≤3% | 23 | 124 | 147 |
| 3-5% | 25 | 66 | 91 |
| ≥5% | 42 | 33 | 75 |
| Total | 90 | 223 | 313 |
| Chemotherapy + endocrine therapy (15/63) | Endocrine therapy only (48/63) | Difference | |
|---|---|---|---|
| Number of accesses (median value) | 44 | 23 | 21 |
| Number of services (median values) | 228 | 113 | 115 |
| Reimbursement (median value) | €11746 | €8935 | €2811 |
References
- Early-stage Breast Cancer.
- Perou C, Sørlie T, Eisen M. Molecular portraits of human breast tumours. Nature. 2000;406(6797):747-752. doi:https://doi.org/10.1038/35021093
- Loibl S, André F, Bachelot T. Early breast cancer: ESMO Clinical Practice Guideline for diagnosis, treatment and follow-up. Ann Oncol. 2024;35(2):159-182. doi:https://doi.org/10.1016/j.annonc.2023.11.016
- Carnevale M, Colciago R, De Santis M. Advancing breast cancer therapy in the era of molecular diagnostics. The Breast. 2025;82. doi:https://doi.org/10.1016/j.breast.2025.104488
- Curigliano G, Burstein H, Gnant M. Understanding breast cancer complexity to improve patient outcomes: The St Gallen International Consensus Conference for the Primary Therapy of Individuals with Early Breast Cancer 2023. Ann Oncol. 2023;34(11):970-986. doi:https://doi.org/10.1016/j.annonc.2023.08.017
- Brogna M, Ferrara G, Varone V. Evaluation and Comparison of Prognostic Multigene Tests in Early-Stage Breast Cancer: Which Is the Most Effective? A Literature Review Exploring Clinical Utility to Enhance Therapeutic Management in Luminal Patients. Mol Carcinog. 2025;64(5):789-800. doi:https://doi.org/10.1002/mc.23893
- Venetis K, Pescia C, Cursano G. The Evolving Role of Genomic Testing in Early Breast Cancer: Implications for Diagnosis, Prognosis, and Therapy. Int J Mol Sci. 2024;25(11). doi:https://doi.org/10.3390/ijms25115717
- Pruneri G, Lorenzini D, Mastropasqua M. The central role of pathology labs in breast cancer precision oncology: a call for action. NPJ Breast Cancer. 2023;9(1). doi:https://doi.org/10.1038/s41523-023-00506-5
- Sparano J, Gray R, Makower D. Adjuvant Chemotherapy Guided by a 21-Gene Expression Assay in Breast Cancer. N Engl J Med. 2018;379(2):111-121. doi:https://doi.org/10.1056/NEJMoa1804710
- Kalinsky K, Barlow W, Gralow J. 21-Gene Assay to Inform Chemotherapy Benefit in Node-Positive Breast Cancer. N Engl J Med. 2021;385(25):2336-2347. doi:https://doi.org/10.1056/NEJMoa2108873
- Andre F, Ismaila N, Allison K. Biomarkers for Adjuvant Endocrine and Chemotherapy in Early-Stage Breast Cancer: ASCO Guideline Update. J Clin Oncol. 2022;40(16):1816-1837. doi:https://doi.org/10.1200/JCO.22.00069
- Protocol for the Examination of Specimens From Patients With Invasive Carcinoma of the Breast. Published online 2018.
- Instructions for Use.
- Hammond M, Hayes D, Dowsett M. American Society of Clinical Oncology/College of American Pathologists Guideline Recommendations for Immunohistochemical Testing of Estrogen and Progesterone Receptors in Breast Cancer (Unabridged Version). Arch Pathol Lab Med. 2010;134(7):e48-e72. doi:https://doi.org/10.5858/134.7.e48
- Allison K, Hammond M, Dowsett M. Estrogen and Progesterone Receptor Testing in Breast Cancer: ASCO/CAP Guideline Update. J Clin Oncol. 2020;38(12):1346-1366. doi:https://doi.org/10.1200/JCO.19.02309
- Nielsen T, Leung S, Rimm D. Assessment of Ki-67 in Breast Cancer: Updated Recommendations From the International Ki-67 in Breast Cancer Working Group. JNCI: Journal of the National Cancer Institute. 2021;113(7):808-819. doi:https://doi.org/10.1093/jnci/djaa201
- Wolff A, Hammond M, Allison K. Human Epidermal Growth Factor Receptor 2 Testing in Breast Cancer: American Society of Clinical Oncology/College of American Pathologists Clinical Practice Guideline Focused Update. J Clin Oncol. 2018;36(20):2105-2122. doi:https://doi.org/10.1200/JCO.2018.77.8738
- Schaafsma E, Zhang B, Schaafsma M, Tong C, Zhang L, Cheng C. Impact of Oncotype DX testing on ER+ breast cancer treatment and survival in the first decade of use. Breast Cancer Research. 2021;23(1). doi:https://doi.org/10.1186/s13058-021-01453-4
- Browne I, McLaughlin R, Weadick C. Irish national real-world analysis of the clinical and economic impact of 21-gene oncotype DX® testing in early-stage, 1-3 lymph node-positive, oestrogen receptor-positive, HER2-negative, breast cancer. Breast Cancer Res Treat. 2025;209(1):189-199. doi:https://doi.org/10.1007/s10549-024-07486-5
- Licata L, Viale G, Giuliano M. Oncotype DX results increase concordance in adjuvant chemotherapy recommendations for early-stage breast cancer. NPJ Breast Cancer. 2023;9(1). doi:https://doi.org/10.1038/s41523-023-00559-6
- Mattar A, Fonseca G, Romão M. Substantial Reduction in Adjuvant Chemotherapy With the Use of the 21-Gene Test to Manage Early Breast Cancer in a Public Hospital in Brazil. JCO Glob Oncol. 2021;7:1003-1011. doi:https://doi.org/10.1200/GO.20.00609
- Licata L, De Sanctis R, Vingiani A. Real-world use of multigene signatures in early breast cancer: differences to clinical trials. Breast Cancer Res Treat. 2024;205(1):39-48. doi:https://doi.org/10.1007/s10549-023-07227-0
- Patel R, Hovstadius M, Kier M. Correlation of the Ki-67 Working Group prognostic risk categories with the Oncotype < scp > DX < /scp > Recurrence Score in early breast cancer. Cancer. 2022;128(20):3602-3609. doi:https://doi.org/10.1002/cncr.34426
- Berdunov V, Cuyun Carter G, Laws E. Cost-Effectiveness Analysis of the Oncotype DX Breast Recurrence Score® Test from a US Societal Perspective. ClinicoEconomics and Outcomes Research. 2024;16:471-482. doi:https://doi.org/10.2147/CEOR.S449711
- Mariotto A, Jayasekerea J, Petkov V. Expected Monetary Impact of Oncotype DX Score-Concordant Systemic Breast Cancer Therapy Based on the TAILORx Trial. JNCI: Journal of the National Cancer Institute. 2020;112(2):154-160. doi:https://doi.org/10.1093/jnci/djz068
- de Jongh F, Efe R, Herrmann K, Spoorendonk J. Cost and Clinical Benefits Associated with Oncotype DX® Test in Patients with Early-Stage HR+/HER2- Node-Negative Breast Cancer in the Netherlands. Int J Breast Cancer. 2022;2022:1-12. doi:https://doi.org/10.1155/2022/5909724
- Holt S, Verrill M, Pettit L. A UK prospective multicentre decision impact, decision conflict and economic evaluation of the 21-gene assay in women with node+ve, hormone receptor+ve, HER2-ve breast cancer. Br J Cancer. 2024;130(7):1149-1156. doi:https://doi.org/10.1038/s41416-024-02588-9
Downloads
License
This work is licensed under a Creative Commons Attribution-NonCommercial-NoDerivatives 4.0 International License.
Copyright
Copyright (c) 2025 Società Italiana di Anatomia Patologica e Citopatologia Diagnostica, Divisione Italiana della International Academy of Pathology
How to Cite
- Abstract viewed - 749 times
- PDF downloaded - 282 times

